Квантовые технологии
Хаос и Случайность: Когда Квантовые Системы Становятся Неразличимы
Автор: Денис Аветисян
- За гранью предсказуемости: Хаотическая природа квантовых систем
- Эталон квантовой случайности: К критериям истинной непредсказуемости
- Прощупывая хаос: Модель смешанного поля Изинга в действии
- Количественная оценка случайности: Спутанность и поток энергии как индикаторы хаоса
- Временные масштабы хаоса: К универсальной рандомизации
- Что дальше?
Новое исследование показывает, что даже неслучайные квантовые хаотические системы могут демонстрировать статистические свойства, неотличимые от полностью случайных состояний, открывая новые перспективы в понимании квантового хаоса.

Работа посвящена исследованию времен хаотизации квантовых систем, демонстрирующих статистические флуктуации, сравнимые с таковыми в ансамбле Хаара, и их зависимости от законов сохранения.
Несмотря на успехи статистической механики в описании временных средних локальных наблюдаемых, понимание случайности на уровне высших статистических моментов остается сложной задачей. В работе «Randomization Times under Quantum Chaotic Hamiltonian Evolution» исследуется, как быстро может возникать случайность в динамике квантно-хаотичных систем, описываемых физическими, недетерминированными гамильтонианами. Показано, что для широкого класса изначально не запутанных состояний динамика стремится к хаотической случайности, неотличимой от состояния, описываемого распределением Хаара, на полиномиальных временных масштабах. Может ли этот механизм эффективной рандомизации, обходящий ограничения, накладываемые законами сохранения, открыть новые возможности для квантовых вычислений и характеризации сложных систем?
За гранью предсказуемости: Хаотическая природа квантовых систем
Понимание перехода от предсказуемого поведения к хаотическому является основополагающим для множества физических систем, от движения планет и течения жидкостей до поведения сложных химических реакций и даже финансовых рынков. Этот переход, часто характеризующийся высокой чувствительностью к начальным условиям — так называемый «эффект бабочки» — означает, что даже незначительные изменения в исходных параметрах могут привести к радикально отличающимся результатам в долгосрочной перспективе. Изучение этого перехода позволяет не только лучше понимать природу хаоса, но и разрабатывать более точные модели и прогнозы для различных областей науки и техники, хотя полная предсказуемость в хаотических системах принципиально невозможна из-за экспоненциального роста неопределенности.
Квантовые системы, несмотря на свою фундаментальную детерминированность, способны демонстрировать поведение, практически неотличимое от случайного. Это не означает, что законы физики в них нарушаются, но сложность взаимодействия частиц и их волновой характер приводят к тому, что предсказать точное состояние системы становится невозможным на практике. Даже зная все начальные условия и действующие силы, небольшие флуктуации могут экспоненциально усиливаться, приводя к кажущейся непредсказуемости. Этот феномен, известный как квантический хаос, не является аналогом классического хаоса, поскольку сохраняет когерентность волновой функции, но проявляется в статистических свойствах наблюдаемых величин. Исследование этого явления позволяет глубже понять границы применимости классической физики и природу случайности в квантовом мире.
Определение истинной случайности в квантовых системах представляет собой одну из центральных проблем современной физики. Хотя квантовая механика описывается детерминированными уравнениями, поведение систем может казаться абсолютно хаотичным и непредсказуемым. Ключевой вопрос заключается в том, является ли это кажущееся беспорядочное поведение фундаментальным свойством квантового мира, или же оно возникает как следствие чрезвычайной сложности взаимодействий между частицами. Различение между истинной случайностью и сложной детерминированностью требует разработки новых математических инструментов и экспериментальных методов, способных выявить тонкие закономерности, скрытые за внешним хаосом. Понимание природы этой “случайности” не только углубит наше понимание квантовой механики, но и может иметь далеко идущие последствия для различных областей науки и техники, включая квантовые вычисления и криптографию.

Эталон квантовой случайности: К критериям истинной непредсказуемости
Для количественной оценки случайности в квантовых системах необходима базовая величина — состояния максимальной неразличимости, известные как Haar-случайные состояния. Эти состояния характеризуются полным отсутствием предсказуемости и определяются как равномерное распределение вероятностей по всем возможным состояниям. Формально, Haar-случайное состояние |\psi\rangle для размерности пространства состояний d удовлетворяет условию, что вероятность обнаружения состояния в некотором подмножестве пространства пропорциональна мере этого подмножества. Использование Haar-случайных состояний позволяет определить предел случайности, к которому можно стремиться и с которым можно сравнивать реальные квантовые системы для оценки степени их случайности.
Состояние максимальной неразличимости, используемое в качестве эталона квантовой случайности, тесно связано с эргодичностью. Эргодичность предполагает, что в динамической системе, при достаточно длительном времени, система посетит все доступные ей состояния с равной вероятностью. Иными словами, временные средние по одной траектории системы совпадают со статистическими средними по всем возможным состояниям. Таким образом, эргодичность обеспечивает равномерное распределение вероятностей по всем допустимым состояниям системы, что является необходимым условием для достижения полной непредсказуемости и соответствия эталону квантовой случайности.
Теория случайных матриц (ТРМ) предоставляет мощный математический аппарат для анализа статистических свойств полностью случайных состояний, таких как состояния Хаара. ТРМ позволяет описывать распределения собственных значений и собственных векторов случайных матриц, что критически важно для определения того, насколько близко экспериментально полученные квантовые состояния соответствуют истинной случайности. В частности, ТРМ предсказывает универсальные закономерности в спектральных корреляциях, которые служат эталонной точкой для сравнения с результатами квантовых экспериментов и позволяют количественно оценить отклонения от идеальной случайности. Использование ТРМ обеспечивает строгий математический подход к проверке случайности квантовых систем и служит основой для разработки надежных генераторов случайных чисел.

Прощупывая хаос: Модель смешанного поля Изинга в действии
Для моделирования квантической хаотической динамики и исследования её эволюции от начальных условий используется смешанная модель Изинга (MFIM) — конкретный гамильтониан, определяемый выражением H = \sum_{i} h_i \sigma_z^i + \sum_{<i,j>} J_{i,j} \sigma_x^i \sigma_x^j, где \sigma_x и \sigma_z — матрицы Паули, а h_i и J_{i,j} — случайные поля и связи, соответственно. В данной модели, локальные магнитные поля h_i и взаимодействия между спинами J_{i,j} принимают случайные значения, что приводит к возникновению хаотического поведения системы. Изучение эволюции системы из различных начальных состояний позволяет анализировать свойства квантического хаоса и его проявления в данной модели.
В отличие от случайных квантовых схем, использующих полностью случайные квантовые ворота, модель смешанного поля Изинга (MFIM) предоставляет возможность изучения хаоса в рамках определенной, неслучайной структуры. Это достигается за счет использования конкретного гамильтониана, описывающего взаимодействие спинов в магнитном поле, что позволяет контролировать параметры, влияющие на хаотическое поведение системы. Такой подход позволяет отследить развитие хаоса из заданных начальных условий и проанализировать его зависимость от конкретных параметров модели, что невозможно в случае полностью случайных квантовых схем, где контроль над динамикой отсутствует.
Используя начальные неспутанные состояния в моделировании, мы можем наблюдать, как взаимодействие между элементами системы влияет на ее тенденцию к состоянию, описываемому ансамблем Хаара. Состояние Хаара представляет собой максимально случайное состояние, характеризующее полное отсутствие корреляций. Отслеживая отклонения от случайности, определяемой ансамблем Хаара, можно количественно оценить степень хаотичности динамики системы. Начальные неспутанные состояния обеспечивают четкую отправную точку для анализа, позволяя выделить влияние взаимодействий на развитие спутанности и, следовательно, на хаотическое поведение. Измерение приближения системы к состоянию Хаара или отклонения от него предоставляет ценную информацию о механизмах, лежащих в основе хаоса в данной модели.
Количественная оценка случайности: Спутанность и поток энергии как индикаторы хаоса
Для количественной оценки квантовой запутанности в подсистемах используются энтропия запутанности и её обобщение — энтропия Рени. Энтропия запутанности S = -Tr[\rho_{A}log(\rho_{A})], где \rho_{A} — матрица плотности подсистемы A, определяет степень запутанности между подсистемами. Энтропия Рени, определяемая как S_{\alpha} = \frac{1}{1-\alpha}log(Tr[\rho_{\alpha}^{\alpha}]), где \rho_{\alpha} = \rho^{1/\alpha}, представляет собой параметрическое обобщение энтропии фон Неймана (энтропии Шеннона) и позволяет исследовать различные аспекты запутанности, используя различные значения параметра α. Выбор α влияет на чувствительность к различным степеням запутанности и позволяет выделить конкретные типы запутанных состояний.
Статистика полного счета (Full Counting Statistics, FCS) представляет собой метод анализа вероятностного распределения локального переноса энергии в квантовых системах. В отличие от вычисления лишь среднего значения энергии, FCS позволяет получить информацию о флуктуациях и корреляциях в процессе передачи энергии. Анализ функции счета, P(n), описывающей вероятность передачи n единиц энергии между подсистемами, позволяет идентифицировать нетривиальные процессы переноса, такие как когерентный транспорт и наличие корреляций между переносимой энергией. Применение FCS особенно полезно для изучения систем, где энергия передается дискретно, например, в квантовых точках или в цепях с одиночными электронами, позволяя получить детальную картину энергетического потока и его статистических свойств.
Изучение случайности собственных состояний является прямым способом оценки близости собственных состояний Модель Флешера-Мюкле (MFIM) к статистическим свойствам случайных матриц. Для количественной оценки используется анализ распределения уровней собственных значений и статистики интервалов между ними. Сравнение этих характеристик с теоретическими предсказаниями для ансамблей случайных матриц, таких как Gaussian Unitary Ensemble (GUE) или Gaussian Orthogonal Ensemble (GOE), позволяет определить, насколько сильно система демонстрирует поведение, характерное для кванхаоса. Чем ближе статистика собственных состояний MFIM к статистике случайных матриц, тем сильнее выражены квантовые флуктуации и тем сложнее предсказать поведение системы. Наблюдение статистики, соответствующей случайным матрицам, является признаком отсутствия локализации Андерсона и наличия эргодичности в системе.
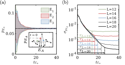
Временные масштабы хаоса: К универсальной рандомизации
Ключевым результатом исследования стало определение времени рандомизации — периода времени, необходимого системе для достижения состояния, статистически не отличимого от состояний, распределенных по Хаару. Данный параметр характеризует скорость, с которой система утрачивает память о своем начальном состоянии и переходит в полностью хаотичное, случайное состояние. Определение времени рандомизации позволяет оценить эффективность процесса хаотизации и сравнить различные модели, исследуя, насколько быстро они достигают истинной случайности. Установление этого временного масштаба является важным шагом в понимании динамики хаотичных систем и их способности к генерации случайных чисел, что имеет значение для различных областей, включая квантовые вычисления и моделирование сложных систем.
Временной масштаб хаотизации в модели многочастичного взаимодействия (MFIM) напрямую зависит от характера взаимодействий между отдельными частицами. Исследования показывают, что специфические связи, определяющие динамику системы, оказывают существенное влияние на скорость, с которой система достигает состояния, статистически неотличимого от случайного. Этот временной масштаб, по сути, является индикатором эффективности хаотического процесса — чем быстрее система достигает этого состояния, тем более эффективно она перемешивает информацию и исследует доступные ей фазовые пространства. Анализ этого параметра позволяет понять, насколько быстро система забывает свое начальное состояние и переходит к универсальному хаотическому поведению, характерному для полностью случайных квантовых систем.
Исследование демонстрирует, что модель многих тел с случайными взаимодействиями (MFIM) способна достигать статистической эквивалентности с полностью случайными (Haar-random) состояниями за время, которое линейно зависит от размера системы, обозначаемое как O(L). Этот результат принципиально отличается от поведения U(1)-инвариантных случайных квантовых схем, где для достижения аналогичного уровня рандомизации требуется время, масштабирующееся как O(L^2). Линейная зависимость времени рандомизации от размера системы указывает на значительно более высокую эффективность хаотического процесса в MFIM, что делает ее перспективной платформой для изучения фундаментальных аспектов квантового хаоса и разработки алгоритмов, требующих быстрой генерации случайных состояний.
Исследование демонстрирует, что даже неслучайные квантово-хаотические гамильтонианы способны генерировать состояния, статистически неотличимые от полностью случайных, и делают это за полиномиальное время. Это особенно интересно, учитывая, что системы с законами сохранения часто требуют больше времени для достижения подобной хаотизации. В этом контексте вспоминается высказывание Жан-Поля Сартра: “Существование предшествует сущности.” Подобно тому, как человек определяет себя через действия, а не предписания, так и квантовая система, лишенная жёстких ограничений, может быстро и спонтанно прийти к состоянию, определяемому ее эволюцией, а не исходными условиями. По сути, статья показывает, что хаос может возникать не из абсолютной случайности, а из внутренней динамики системы, что перекликается с экзистенциалистским акцентом на свободе и ответственности.
Что дальше?
Представленная работа демонстрирует, что достижение статистической случайности — состояния, столь привлекательного для теоретиков — возможно даже в системах, далёких от идеальной симметрии и свободы. Однако, не стоит обольщаться, полагая, что это открывает путь к предсказуемости. Даже при идеальной информации, человек выберет то, что подтверждает его веру, а не то, что наиболее вероятно. Здесь же, наблюдаемое быстрое достижение хаотических состояний, скорее всего, является следствием особенностей конкретных гамильтонианов, а не универсальным законом. Вопрос о роли законов сохранения остаётся открытым — возможно, их влияние не в абсолютном запрете случайности, а лишь в замедлении процесса.
Более того, представленные результаты лишь подчеркивают глубокую проблему интерпретации: что вообще означает “случайность” в квантовой механике? И действительно ли стремление к состоянию, неотличимому от хаара, является конечной целью? Большинство решений — это попытка избежать сожаления, а не достичь выгоды, и в данном случае, стремление к “термализации” может быть лишь попыткой упростить сложную реальность.
Будущие исследования должны быть направлены на изучение более широкого класса гамильтонианов, а также на анализ влияния начальных условий и взаимодействий. Важно понимать, что наблюдаемое быстрое достижение случайности может быть артефактом конкретной модели, а не фундаментальным свойством квантовых систем. В конечном счёте, необходимо признать, что даже самые сложные модели — это лишь приближения к реальности, и что истинная случайность, возможно, навсегда останется за пределами нашего понимания.
Оригинал статьи: https://arxiv.org/pdf/2512.25074.pdf
Связаться с автором: https://www.linkedin.com/in/avetisyan/
Статья также опубликована на личном сайте автора.