Квантовые технологии
Квантовая симуляция хаоса: новый подход к изучению критических явлений
Автор: Денис Аветисян
Исследователи продемонстрировали аналоговую квантовую симуляцию модели Липкина-Мешкова-Глика с использованием сверхпроводящего кудита, открывая новые возможности для анализа квантовой критичности.

Реализована аналоговая квантовая симуляция модели Липкина-Мешкова-Глика на платформе настраиваемого сверхпроводящего кудита, позволяющая исследовать квантовые фазовые переходы и сложные квантовые явления.
Несмотря на прогресс в квантовых вычислениях, моделирование сложных квантовых систем остается сложной задачей. В данной работе, озаглавленной ‘Analog quantum simulation of the Lipkin-Meshkov-Glick model in a transmon qudit’, представлено экспериментальное моделирование модели Липкина-Мешкова-Глика с использованием аналогового симулятора на основе сверхпроводящего кудита. Достигнута реализация до уровней, позволившая детально изучить предвестники квантовой критичности и динамические фазовые переходы. Открывает ли использование кудитов новый путь к эффективному моделированию многочастичных физических систем и демонстрации квантового превосходства?
Раскрытие Законов Динамических Фазовых Переходов
Понимание динамических фазовых переходов имеет решающее значение для изучения квантовых систем, находящихся вдали от равновесия. В отличие от систем, находящихся в стабильном состоянии, не равновесные системы постоянно эволюционируют во времени, демонстрируя сложное поведение, которое определяется как внутренними взаимодействиями, так и внешними воздействиями. Именно динамические фазовые переходы определяют, как эти системы переходят от одного режима поведения к другому, причем эти переходы могут происходить не в фиксированной точке, а формироваться во времени и пространстве. Исследование этих переходов позволяет раскрыть фундаментальные принципы, управляющие эволюцией квантовых систем, и получить представление о таких явлениях, как релаксация, рассеяние и формирование сложных структур. Более того, изучение динамических фазовых переходов открывает новые возможности для управления квантовыми системами и создания новых технологий, основанных на использовании их уникальных свойств, например, в области квантовых вычислений и сенсорики.
Модель ЛМГ (LMG) представляет собой гибкий инструмент для исследования квантовой критичности и физики многих тел, однако её применение требует использования передовых методов моделирования. Сложность заключается в описании сильных корреляций между квантовыми спинами, особенно вблизи критических точек, где традиционные приближения оказываются неэффективными. Для точного анализа необходимо задействовать вычислительно интенсивные алгоритмы, такие как квантовые Монте-Карло или методы вариационного состояния, позволяющие учесть взаимодействие множества частиц и получить надёжные результаты. Исследование фазовых переходов в рамках LMG модели помогает понять поведение сложных квантовых систем, от материалов с сильными электронными корреляциями до систем холодного атома, открывая новые перспективы в области квантовой технологии и материаловедения.
В основе LMG модели лежит возможность тонкой настройки взаимодействия между квантовыми спинами посредством двух ключевых параметров: локального магнитного поля и одноосного скручивания. Локальное поле, воздействующее на каждый спин индивидуально, позволяет контролировать его ориентацию и создавать неравновесные состояния. Одноосное скручивание, в свою очередь, определяет энергию спина в зависимости от его ориентации относительно определенной оси, что приводит к анизотропным взаимодействиям. Комбинируя эти параметры, исследователи могут эффективно моделировать широкий спектр физических систем, от магнитных материалов до квантовых вычислений, и изучать критические явления, возникающие при изменении параметров модели. Взаимодействие, определяемое этими параметрами, описывается, например, гамильтонианом вида , где — локальное поле, а — константа взаимодействия.

Квантовое Моделирование: Инструмент Исследования Фазовых Переходов
Квантовое моделирование предоставляет возможность преодолеть ограничения, присущие классическим методам при изучении сложных квантовых систем. Классические вычисления сталкиваются с экспоненциальным ростом вычислительных затрат при увеличении числа взаимодействующих квантовых частиц, что делает точное моделирование даже относительно небольших систем практически невозможным. Квантовые компьютеры, используя принципы квантовой механики, такие как суперпозиция и запутанность, способны эффективно представлять и манипулировать квантовыми состояниями, обеспечивая экспоненциальное ускорение для определенных типов вычислений. Это позволяет исследовать системы, недоступные для классического моделирования, такие как высокотемпературные сверхпроводники, новые материалы и сложные молекулярные взаимодействия, что открывает перспективы для прогресса в материаловедении, химии и физике.
Сверхпроводящие кубиты, в частности, кудиты на основе трансмонов, представляют собой перспективную аппаратную платформу для реализации квантового моделирования. Данные кубиты демонстрируют когерентность, необходимую для поддержания квантовых состояний в течение времени, достаточного для выполнения сложных вычислений. Современные реализации на базе трансмонов позволяют достигать размерности до 9 кубитов, что открывает возможности для моделирования систем, не поддающихся классическому анализу. При этом, увеличение числа кубитов и улучшение их характеристик остаются ключевыми задачами для дальнейшего развития квантового моделирования.
Адиабатический протокол является ключевым методом надежной подготовки начальных состояний для квантового моделирования, особенно при использовании модели Липмана-Грейба-Миронова (LGM). Суть метода заключается в медленном и плавном изменении гамильтониана системы, начиная с простого, легко поддающегося решению состояния, и постепенно переходя к целевому гамильтониану, описывающему исследуемую систему. При достаточно медленном изменении, согласно адиабатической теореме, система остается в собственном состоянии, что обеспечивает высокую точность подготовки начального состояния, необходимого для корректного выполнения квантовых симуляций на основе модели. Несоблюдение условий адиабатичности может привести к возбуждению нежелательных состояний и, как следствие, к ошибкам в результатах моделирования.

Упрощение Моделирования: Приближения и Операторы
Движущийся гамильтониан () определяет взаимодействие в квантовом моделировании, описывая, как внешнее поле воздействует на систему. В большинстве практических реализаций, особенно при моделировании сложных систем, вычисление эволюции во времени под действием полного гамильтониана становится вычислительно непосильным. Для упрощения расчетов часто применяется приближение вращающейся волны (RWA). RWA предполагает пренебрежение быстроосциллирующими членами в гамильтониане, которые вносят незначительный вклад в динамику системы на интересующих временных масштабах. Это существенно снижает вычислительную сложность, позволяя моделировать более крупные и сложные системы, хотя и с некоторой потерей точности. Применение RWA оправдано, когда частота внешнего поля значительно отличается от частот переходов в системе.
Операторы и являются фундаментальными компонентами модели Линдблада-Максвелла-Грэма (LMG), описывающими ключевые взаимодействия между спинами в квантовой системе. Оператор представляет собой сумму спиновых операторов вдоль оси z для всех спинов в модели, определяя общее спиновое взаимодействие в этом направлении. Оператор аналогичным образом представляет собой сумму спиновых операторов вдоль оси x, описывая взаимодействие спинов в перпендикулярной плоскости. Эти операторы, будучи компонентами полного спинового оператора , определяют гамильтониан системы и, следовательно, динамику ее эволюции во времени, а также влияют на когерентность и декогеренцию квантовых состояний.
Оператор чётности, определяемый как произведение операторов спина по всем узлам системы, играет важную роль в анализе симметрий квантовой системы. Он коммутирует с гамильтонианом LMG модели, если взаимодействие между спинами инвариантно относительно инверсии. Это означает, что собственные состояния гамильтониана также являются собственными состояниями оператора чётности, что позволяет классифицировать состояния по чётности (1 или ). Знание чётности позволяет упростить анализ и предсказать поведение системы, поскольку состояния с разной чётностью не смешиваются в процессе эволюции, что приводит к разделению энергетических уровней и упрощает расчеты.

Раскрытие Новых Квантовых Явлений
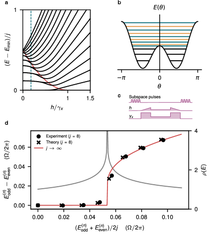
Квантовое моделирование открывает уникальную возможность исследовать динамические фазовые переходы, процессы, в которых система изменяет свое состояние под воздействием внешних факторов. Данный подход позволяет не только наблюдать эти переходы в контролируемых условиях, но и проверять справедливость теоретических предсказаний, полученных на основе сложных математических моделей. В ходе моделирования изучаются изменения в ключевых параметрах системы, таких как порядок и энергетические щели , что позволяет детально проследить динамику перехода и подтвердить или опровергнуть теоретические прогнозы относительно скорости и характера этих изменений. Такая верификация играет ключевую роль в развитии понимания фундаментальных физических процессов и способствует созданию более точных и надежных теоретических моделей.
Исследование динамических фазовых переходов было проведено с использованием механизма Киббла-Зурека, позволяющего изучить образование дефектов в системе при быстрых изменениях параметров. В ходе моделирования скорость изменения внешнего воздействия была установлена на уровне 200 наносекунд. Этот подход позволил наблюдать формирование дефектов, возникающих в процессе перехода системы из одного фазового состояния в другое. Полученные результаты подтверждают теоретические предсказания, касающиеся закономерностей формирования дефектов при быстрых фазовых переходах, и демонстрируют возможности квантового моделирования для изучения не-равновесной динамики сложных систем. Наблюдаемая зависимость количества дефектов от скорости изменения параметров представляет собой важный аспект понимания процессов самоорганизации в физике конденсированного состояния.
Исследования, проведенные с использованием модели Липмана-Грэхема (LMG), позволили изучить квантовые фазовые переходы в возбужденных состояниях, открывая доступ к ранее недоступным физическим явлениям. В отличие от традиционных исследований, фокусирующихся на основном состоянии системы, данная работа демонстрирует, что фазовые переходы могут происходить и в возбужденных состояниях, проявляясь в изменениях энергетических щелей и поведения параметра порядка. Этот подход позволяет исследовать новые типы квантовых фаз и динамики, расширяя понимание поведения сложных квантовых систем и потенциально приводя к разработке новых квантовых технологий. Полученные результаты подтверждают возможность управления квантовыми состояниями и манипулирования ими в более широком диапазоне энергетических уровней, что представляет значительный интерес для фундаментальной физики и прикладных исследований.
В ходе численных симуляций удалось детально исследовать поведение параметра порядка вблизи критических точек, что позволило охарактеризовать фазовые переходы в системе. Измерение энергетических зазоров, возникающих между энергетическими уровнями, предоставило ценную информацию о природе этих переходов и позволило определить их классификацию. Наблюдаемые изменения параметра порядка, демонстрирующие характерные скачки и сингулярности, согласуются с теоретическими предсказаниями, а величина энергетических зазоров, уменьшающаяся по мере приближения к критической точке, подтверждает возникновение коллективных возбуждений. Эти результаты способствуют более глубокому пониманию динамических фазовых переходов и позволяют прогнозировать поведение сложных квантовых систем, открывая возможности для разработки новых материалов и технологий, использующих квантовые эффекты.
Исследование демонстрирует, что понимание сложных квантовых систем требует не просто наблюдения, но и активного поиска закономерностей в визуализируемых данных. Аналогично тому, как в эксперименте моделируется переход в критическое состояние, представленная работа с кудитами позволяет изучать квантовую критичность модели Липкина-Мешкова-Глика. Как однажды заметил Альберт Эйнштейн: «Самое прекрасное, что мы можем испытать, — это тайна. Она является источником всякого истинного искусства и науки». Эта тайна раскрывается через визуализацию данных и строгое логическое обоснование гипотез, позволяя глубже понять структуру и поведение квантовых систем.
Что дальше?
Представленная работа, безусловно, открывает новые возможности для исследования квантовой критичности, однако стоит признать, что аналоговое моделирование, как и любой метод, имеет свои границы. Достижение истинного масштабирования системы, необходимого для изучения более сложных моделей, остается нетривиальной задачей. Проблемы декогеренции и несовершенства управления кубитами, хоть и смягчены в данной реализации, всё ещё диктуют ограничения на время наблюдения и точность измерений. Следующим шагом видится разработка более устойчивых к шуму схем и методов динамической коррекции ошибок, адаптированных специально для аналоговых симуляторов.
Интересным направлением представляется расширение возможностей управления кубитами. Переход от простого моделирования модели Липкина-Мешкова-Глика к более сложным взаимодействиям и топологиям может потребовать разработки новых архитектур кубитов и протоколов управления. В частности, изучение возможности реализации не-гамильтоновых эволюций и исследование влияния диссипативных эффектов на квантовые фазовые переходы представляются перспективными областями для будущих исследований. Ирония заключается в том, что стремление к идеальной симуляции, возможно, потребует намеренного введения контролируемого «шума».
В конечном счете, понимание системы — это исследование её закономерностей. Подобные аналоговые симуляции, как эта работа демонстрирует, служат не только инструментами для проверки теоретических предсказаний, но и своеобразными «лабораториями» для обнаружения новых, неожиданных явлений в мире квантовой механики. Следует помнить, что визуальные данные раскрывают мир, если их интерпретировать через строгую логику и креативные гипотезы.
Оригинал статьи: https://arxiv.org/pdf/2512.05237.pdf
Связаться с автором: https://www.linkedin.com/in/avetisyan/
Статья также опубликована на личном сайте автора.